1.) Got it right (almost got it wrong, but I double checked and caught a mistake, my work doesn’t show the mistake)
My Work
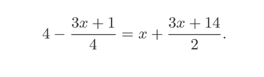
4 - ((3x + 1)/4) = x + (3x+14)/2
4 - 3x/4 - 1/4 = x + 3x/2 + 7
16 - 3x - 1 = 4x + 6x + 28
15 = 13x + 28
-13 = 13x
x = -1
4 - ((3(-1) + 1)/4) = -1 + (3(-1)+14)/2
4 - (-3 +1)/4 = -1 + (-3 + 14 ) / 2
4 + 1/2 = -1 + (11/2)
8/2 + 1/2 = -2/2 + 11/2
9/2 = 9/2
2.) Got it right.
My Work
x = x/6 + x/12 + x/7 + 5 + x/2 + 4
x - x/6 - x/12 - x/7 - x/2 = 9
12x - 2x - x - 12x/7 - 6x = 108
3x - 12x/7 = 108
21x - 12x = 108(7)
9x = 108 x 7
x = 12 x 7
x = 84
84 = 14 + 7 + 12 + 5 + 42 + 4
84 = 84
3.) Got it right.

My Work
1 + 3(1 + 3(1 + 3(1+x))) = 13
1 + 3(1 + 3(1 + 3 + 3x) = 13
1 + 3(1 + 12 + 9x) = 13
1 + 39 + 27x = 13
40 + 27x = 13
27x = -27
x = -1
1 + 3(1 + 3(1 + 3(1+ - 1))) = 13
1 + 3( 1+ 3(1)) = 13
1 + 3(4) = 13
1 + 12 = 13
13 = 13
4.) Got this right the second time. I double checked my work, but I didn’t check it directly(?) through the word question. If I had did that maybe I would’ve caught the fact that I wrote -10 as the set-up fee instead of -40.
My Work
s = shirts sold
p_s = profit from shirts
5s - 10 = p_s
p_m = profit from magazines
t = subscriptions sold
p_m = 4t
p_m = p_s
t = s
4t = 5s - 10
4s = 5s - 10
10 = s
s = 10
if they sold 10 subscriptions they made 40 bucks. if they sold 10 shirts they made 50 bucks - 10 bucks. Profits from shirts equals profits from subs.
Got it wrong. I read 40 as 10.
4t = 5s - 40
4s = 5s - 40
s = 40
if they sold 40 subs they made 160 bucks, if they sold 40 shirts they made 200 bucks - 40 bucks = 160 bucks. profits from shirts equal profit from subs
5.) Got it right.
My Work
t = tank full of water. it has some volume
1/6t + 130 = 3/5t
130 = 3/5t - 1/6t
130 = 18t/30 - 5t/30
130 = 13t/30
130(30) = 13t
t = 10 (30)
t = 300
so when the tank is 1/6(300) we add 130 to get 3/5(300) 50 + 130 = 180, and 300/5 = 60 * 3 = 180




















