Eternity Async Tutoring

Feeling quite sick, may not post the next few days (or maybe I’ll make myself post something).

Also, since I feel unwell after a bunch of very humid weather I thought it may be mold. No strong reason but I decided to go ahead and read about mold.

I’m currently listening to the audiobook of Break The Mold by Dr. Jill Crista shared by @anonymous103 here:

I’ve listened to it for a few minutes so far and like it. I’ll post about it more in the mold thread soon.

1 Like

Optional assignment: go through the recent debates (feminism and politics) and share some of your own opinions/comments/arguments. Focus on writing more than reading: just read a bit then say something. Don’t read it all then try to write after. Read enough to be able to comment, then repeat, don’t read extra without commenting. (You can read extra without commenting if you want to but that isn’t this assignment, not the goal here.)

We could get into topics like making discussion and debate trees if you want.

If you prefer to focus on other topics like math and law that’s fine too. It’s up to you.

For the politics stuff it isn’t too long so I’ll start from the beginning. Do you want me to do the same with feminism stuff?

I think starting in the middle could be confusing. But if you just read one topic and don’t miss posts for that topic it could work. Like abortion or trans or dating are topics. Reading by topic instead of in order might work better.

Ok I started some stuff and I just realized: do you want me to post in the discussion? or do you want me to write some of my opinions/comments/arguments here on the stuff in the threads?


Ok so I commented on ~10 posts on the politics discussion. Right now I have a large draft, with split sections, responding to the posts.

Do I share that here or there? and if there do I split up my posts or just post the whole wall of text? I think splitting up my posts would be better.

I know I (and others?) have been told to @ people I/they talk about. Does that include you? Since we’re discussing your articles and stuff I don’t think so unless there’s a specific way(?) we’re talking about you. I’m unsure so thought to ask.

You could post in the discussion if making on-topic points and here for meta stuff.

Yeah no need to tag me just for talking about my articles or ideas, although you can, it’s fine. Definitely tag if you specifically want me to see something but aren’t replying to me, though I’ll generally see it anyway.

Replying to multiple posts with one post is OK but generally for one post you should reply to one person about one topic. Split into other posts for other people or topics.

If there are multiple topics in one post and you reply to them in one post it’s fine but generally don’t take multiple posts about different topics, or from different authors, and then do a combined reply.

You can also just split posts up if you think they’re too long or to separate each point you make that you think is separate. You should definitely keep stuff together when you’re building on a point between sections (quotes + replies), otherwise splitting is harmless when stuff can be read independently.

1 Like

I originally just loosely followed the politics discussion so I don’t know if it gets revisited but it looks like I finished reading the nazi salute stuff. After you shared this comment:

It seemed to move onto a broader political discussion.

On the nazi salute stuff:

One thing that comes to mind is I think that @Neo is giving Elon more credit than he may deserve. Maybe he’s not a full blown nazi, but nazi sympathizing/not thinking they were all that bad seems pretty common.

Also in general I’m just skeptical of giving powerful people the benefit of the doubt. Depends on the person I guess, but their usually media trained and stuff. Or, put another way, I think people are more aware of what they’re doing in general.

Also Elons a liar. Like just something simple. He lied about being good at Path of Exile. He lied about something nobody even cared about (in his overall image). He lied about something pointless for his image.

Also I think Elon’s been known to be wishy washy on politics and stuff right? Big on the left years ago, now he’s big on the right. He’s just trying to be popular/get power I think. Doing a nazi thing fits in with that.

I think generally I agree with @anonymous105 about the nazi salute stuff. I’m a bit unsure of the general political commentary shared.

Yes media training and past lies are relevant context. Also it was a prepared speech, scheduled in advance.

I started up my next two classes for the semester and have been busy with them. I’ve been just spending time on getting a feel for the time required for each of the classes and I think I should be good now.

I’m probably going to make a topic on my classes so I can post some more and to, hopefully, get any interesting feedback on the stuff I’m being taught. I’m taking a class on the basics of accounting and a class on Microeconomics.

1 Like

Been busy the past few days with some family legal troubles.

Long story short my uncle was outside recording a video to send back home. He records a lot of video. A little too much. We’ll take him out to eat and he’ll record people just eating at the restaurant. We tried to explain to him people don’t like it, but he never really listened and no one ever said anything so he just kept doing it. The other day he, while recording my brothers friend new car (and other stuff), recorded our neighbors kids for a short time in the video. Our neighbors didn’t like that and noticed the filming. They got angry. Threatened him. Broke his phone. Cops showed up. (Skipping a lot of details I don’t think matters).

There were two cops. One was kinda helpful and listened to us. The other one was not. He pretty much excused everything the other party did because “I’m a father and I would do the same.” Things de-escalate and some other stuff happens.

Reason I share this is because we come to learn just how bad the cops were in the situation. They:

  • Refused to give us a police report. We later learned that its because they didn’t even fill one out. On the government side its like nothing ever happened (thats how it was explained to us).
  • We went to get a protective order on the dude who broke my brothers phone. The police didn’t even give us the right name our address to take out the protective order even though they were the ones who suggested it. In other words they supplied us with wrong/false information. Luckily the magistrate was very helpful and got it figured out.
    • Unrelated: I didn’t know that there was certain government services on the weekend. In this case, to get protective/restraining orders. That was interesting.
  • Even after the magistrate talked to the officers the police still didn’t report anything (as shared above). Essentially no initial police report filed and then proceeded to tell the magistrate a bunch of details about the event and then proceeded to still not file a police report.

There was some other smaller things I can’t remember/don’t wanna share, but it pretty much ended with everyone we interacted with telling us to file a complaint about these officers. Wack.

Idk. I don’t interact with the police much (if at all really) and one of my very few interactions with them. they did a bad job. Am I just the odd one out? I don’t think so.

Just finished my last two classes today. They went well. Ended Microeconomics with an A+ (97%, though that was, in part, because he free points out) and Accounting with an A-(~93%). The issue is how much time they took and the mental energy. I didn’t have much time (or, more correctly, didn’t make much time) for philosophy. Though I didn’t do much of anything else either.

I have ~30 days until my next class starts and I want to address the time I put into philosophy. I think for the next week, the first thing I’m going to do is, at a minimum, 1 hour of philosophy work (I want to do it for all 30 days, but I’m just going to focus on the week for now) as my first task of the day.

I would wake up, brush my teeth, shower, etc. and then work on philosophy for a hour. I also kind of want to use this time to build up a better study routine. Right now I think a big thing this is my ability to stay focused when studying. Maybe if I focus better on philosophy, I can focus better on school work and then have to spend less time on it (and also feel less stressed about it).

So my goal is from December 13th to December 20th to study philosophy for 1 hour with no distractions as my first task of the day (ignoring work being scheduled as my first thing of the day).

1 Like

What am/was I working on?

  • I’ve been discussing in various topics kinda randomly with no real goal in mind.
  • I was doing those Alcumus problems for a while.
  • I was doing the Pre-Algebra stuff + some extra stuff you/Elliot asked me.
  • I was working on tort law stuff, was reading a book on liability, and was trying to read a court opinion

Some misc. things that I could do:

  • Discussion of opportunity cost
  • Grammar trees

Hmm. I’m going to stick with the math stuff (I’m going to work on those right after posting) and I’ll probably pick back up the tort stuff. I think I didn’t have much left on that section. I think I’m going to finish out tort law stuff (well the basics obv) and then probably do grammar stuff? I’ll see. First I’ll do some math.

Also writing.

1 Like

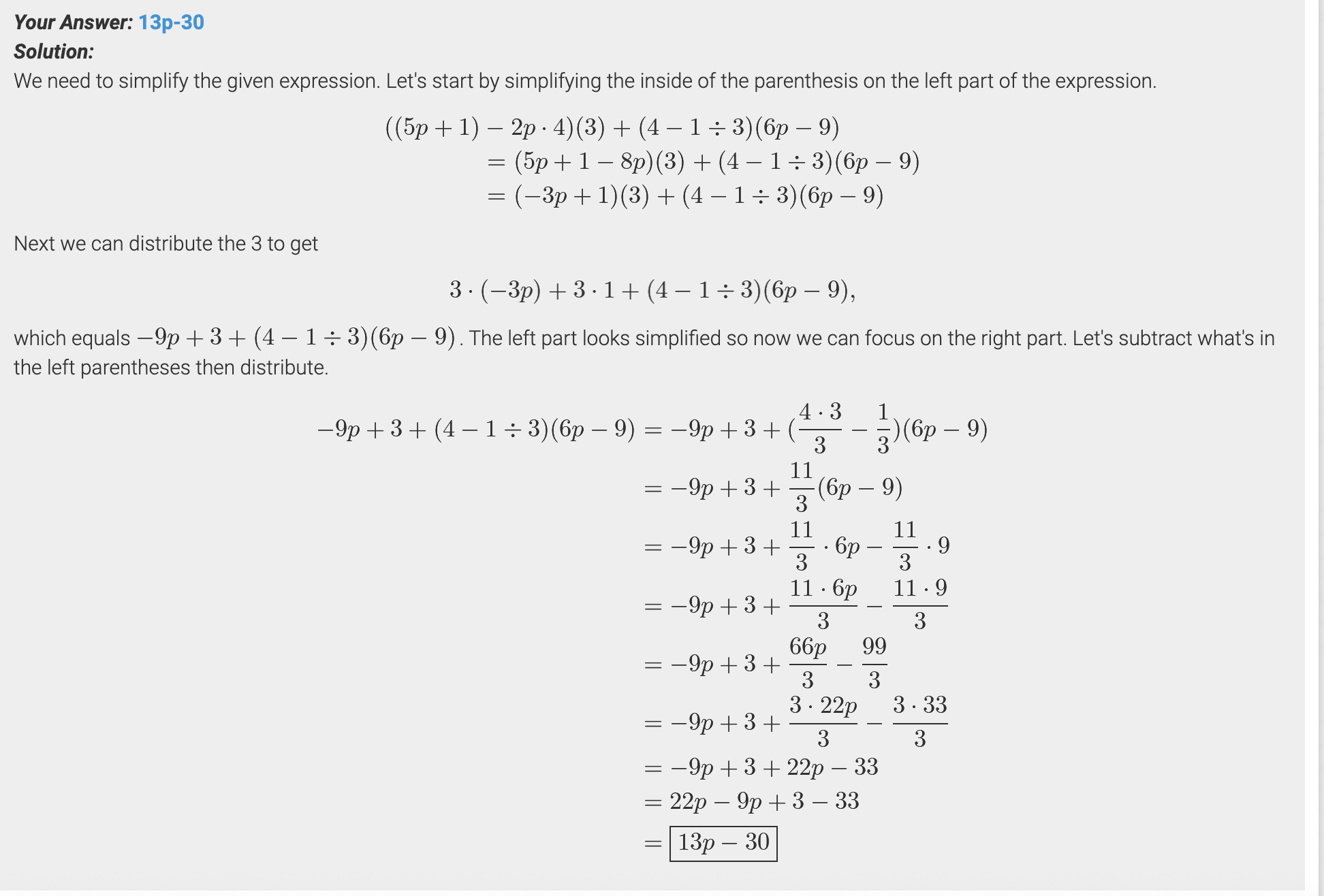
1.) Correct.

My Work

Solution

2.) Got it right the second time. My work was sloppy and when I divided 1665/8. I wrote down the 2 and the 9 in my division, but not the 0 in between.

Hmm. The reason I did it in such a small space is because I don’t want to go to another page and then have to flip back and forth between pages. Idk. I thought about giving each problem more space (like always do a problem with a full sheet/use two sheets spread out for one problem), but then I thought about how far I would like to go with math. I’ll probably need to get used to going back and forth on pages anyway. So idk, I guess I’ll just get used to it?

My Work

Solution

3.) Correct

My Work

Solution

4.) Got this problem wrong. I read the question wrong. I read “picks x more than” as “picks x multiples more than” not “picks x (addition) more than”. I re-did after getting it wrong and read it more carefully (I didn’t look at the answer, just looked at the first step in their work), and got it right after that.

My Work

Solution

5.) Correct.

My Work

Solution


I did the above problems last last. I forgot to post them. Here are five more additional problems done today.

1.) I got this wrong. My set-up seemed fine after looking at the solution. The issue had more to do with paying attention to my math(?). For my first attempt I forgot to distribute the negative sign onto 15 leading to an answer that was 15 higher. For my second attempt, I noticed the mistake just mentioned and proceeded to just remove 15 from the answer. Except, going from 15 to -15 is not just moving 15, but 30. I should’ve still subtracted the 15. Woops.

I think this happened in part from being tired after work?

My Work

Solution

2.) Got this correct my second time. I treated the x at the beginning as negative for some reason.

image

My Work

Solution

3.) Got it right.

My Work

Solution

4.) Got it right the second time. I didn’t distribute the negative correctly the first time. I forgot that (1/5) - ((x+2)/9) would make the x+2 on top negative.

My Work

Solution

5.) Got it right

My Work

Solution


The five problems took around ~30 minutes. Though a lot of time was spent on reviewing my problems when I got them wrong and then redoing them.

Have you tried doing math on a computer or tablet? It doesn’t have the same space issues. It’s fine if you prefer paper though (just use enough).

re this and other errors:

Are you double checking your answers yourself before you submit them? I recommend at least one double check per problem (more if you have low confidence, intuitive concerns, or some other reason).

The most common way to double check is take your final answer and go back to the original problem wording, ignore all your other work, and see if it comes out right. Usually that means basically plugging your final numbers into a calculation and making sure they work.

For this specific problem, which was to simplify an expression, double checking is harder. One way I might double check this is mentally counting the x’s then the 1’s, as two separate checks (as a way to do something different than simplifying it as a whole – it’s best not to double check by repeating the identical thing you did the first time).

Had an early morning shift yesterday and the day before which had me extra tired. I haven’t fixed my sleep schedule since going to Vancouver to see family. I think my body is more on PST than EST.

I missed yesterdays philosophy work because I just napped and then went fully to bed after work. I should be good for the rest of the week to do philosophy first thing in the morning (until Friday, but hopefully I can carry some momentum into that day).

Going to start after posting this :+1:

On a computer? Not really. I’ve done maybe a little bit. Its mostly just mental math while using the computer as a place to track information.

On a tablet? Like iPads and stuff? I’ve tried. I don’t like the feel or the size of the writing area (maybe I’d like an iPad pro, I have an air right now, but I’m not buying one anytime soon).

I’ve tried drawing tablets on a computer. I kinda like those.

I think my big issue with trying some of these other options is I don’t want to spend time getting used to them. Or, I guess, it feels like a waste of time trying to get used to them. I’m very comfortable with pen and paper. Why add friction to doing this math problem?

Hmm. I will give each of those a bit more of a try. I’ll try and do some math on my computer today.

No. My habit on double checking is very school oriented and school oriented in a very specific way. I would only double check my work on tests and quizzes. Where it “matters”. Double checking is for when I need to get the answer right. Otherwise, in my head, it feels like a waste of time.

I’d like to see you getting the answers right significantly more consistently. Once you do that you can move onto harder problems.

Also, doing error correction steps and keeping your error rate (on final answers) low is important practice that’s relevant for philosophy and other activities besides math.

If you’re happy with paper that’s fine just adjust your approach so it isn’t an excuse for errors.

1 Like

1.) Got it right.

My Work

(8 x 3 + 16) / 40 x (9/(1/3))

(24 + 16)/40 x (27)

40/40 x 27

1 x 27

27

Solution

2.) Got it right. I didn’t really “set-up” this problem. I just kind of thought about it(?) as I did it/read it.

image

My Work

small marbles are worth 25 cents

large marbles are worth k cents

i assume the exchange was equivalent? so 3 large marbles = 1 large marble and 6 small marbles

so one large marble equals three small ones?

She initially has 1.25 + 8k, she then has 2,75 + 6k, she then has 1.75+6k

Right? Small ones are worth 25 cents each. So 1.25 at the start and 8 marbles. She gave away 3 big ones and got back one big one. Leaving her with 6. She then has 6 small + 5 small. 1.50 + 1.25. She gave away 4 small marbles (1.00 worth) and now has 1.75. Uhh. It has to be an integer?

oh value is in cents so 175 cents?

Solution

3.) Got it right the second time. When substituting starfruit cost = rambutan cost - 5, I noticed I did the rambutan cost stuff on the left and just substituted it in for starfruit cost while ignoring the -5. Maybe when double checking I should “redo” ;the problem instead of just checking if everything looks right?

My Work

dragon fruit cost = x - 4

starfruit cost = rambutan cost - 5

rambutan cost = 2x + dragon fruit cost

total cost = rambutan cost + (2) (starfruit cost) + (3) (dragonfruit cost)

total cost = (2x + dragon fruit cost) + (2) (rambutan cost - 5) + (3) (x - 4)

total cost = (2x + x - 4) + (2) (2x + x - 4) + 3x - 12

total cost = 2x + x - 4 + 4x +2x - 8 +3x - 12

total cost = 12x - 24

I got it wrong. Hmm. Oh.

total cost = (2x + dragon fruit cost) + (2) (rambutan cost - 5) + (3) (x - 4)

total cost = (2x + x - 4) + (2) ((2x + x - 4) - 5) + 3x - 12

total cost = 2x + x - 4 + 4x + 2x - 8 - 10 + 3x - 12

total cost = 12x - 34

Solution

4.) Got it right.

image

My Work

So

n x 1 x (1/2) x (1/3) x (1/4) x (1/5) = (1/2) x (1/4) x (1/6) x (1/8) x (1/10), find n

2 x 3 x 4 x 5 = 120, 2 x 4 x 6 x 8 x 10 = 8 x 6 x 8 x 10 = 64 x 6 x 10 = 384 x 10 = 3840

n/120 = 1/3840

3840n = 120

n = 120/3840

n = 12/384

n = 6/192

n = 1/32

32 x 2 x 3 x 4 x 5 = 32 x 3 x 4 x 10 = 320 x 3 x 4 = 1280 x 3 = 3840

ye

Solution

5.) Got it right

image

My Work

5 - x = 8

5 = 8 + x

x + 8 = 5

x = -3

5 - (-3) = 8

5 + 3 = 8

Solution

image